Номер 741 - ГДЗ Алгебра 8 класс. Мерзляк, Полонский. Учебник. Страница 179

Вернуться к содержанию учебника

Упражнения §21. Страница 179

738 739 740 741 742 743 744

Вопрос

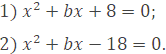
Найдите все целые значения , при которых имеет целые корни уравнение:

Подсказка

Вспомните:

  1. Что такое уравнение.
  2. Что называют корнем уравнения.
  3. Какое уравнение называют квадратным.
  4. Теорему Виета.
  5. Сложение и умножение рациональных чисел.
  6. Какие числа называют целыми.

Ответ


Вернуться к содержанию учебника